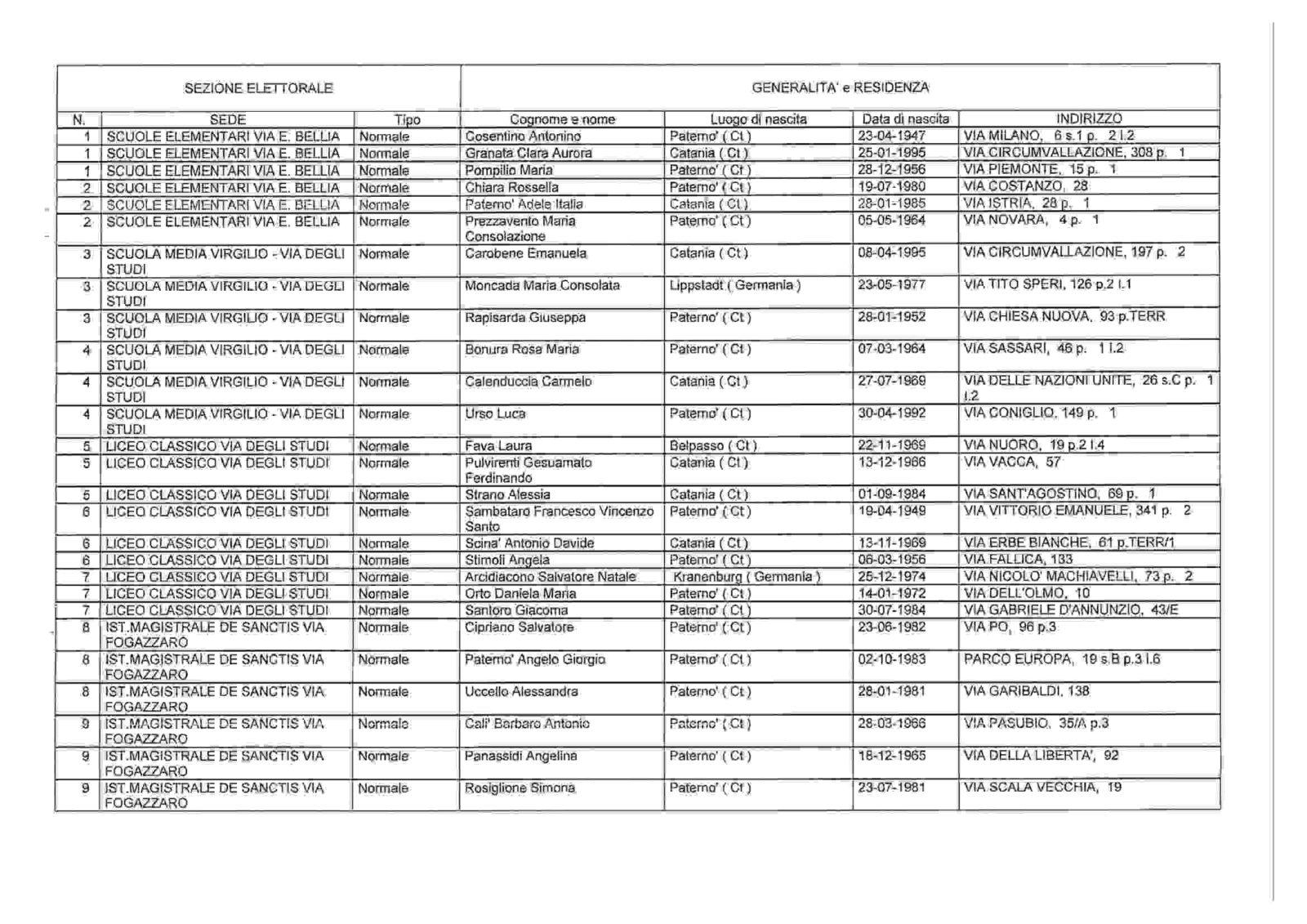
Pubblicati i nomi degli scrutatori per il referendum

Le foto dei moduli affissi questa mattina al Comune (clicca all'interno per ingrandire)

A cura di Redazione Redazione
10 novembre 2016 11:09
Pubblicati i nomi degli scrutatori per il referendum -
Condividi

images-1
images-1

images-2
images-2
images-3
images-3
images-4
images-4
images-5
images-5
images-6
images-6
images-7
images-7

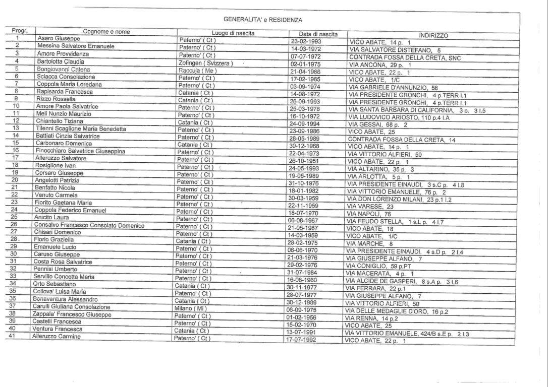
ELENCO GRADUATORIA RISERVE

nomina-scrutatori-page-001
nomina-scrutatori-page-001
nomina-scrutatori-page-002
nomina-scrutatori-page-002
nomina-scrutatori-page-003
nomina-scrutatori-page-003